Arbelos
ARBELOS
Balmoral Software
Consider the arbelos S
with left radius r and right radius 1 - r, 0 < r < 1,
and therefore with enclosing radius 1, oriented so that the center of the
enclosing semicircle is at the origin. Then the centers of the left and right
semicircles are (r - 1,0) and (r,0) respectively. S is asymmetric
if r ≠ 1/2.
So that S is traversed in a counterclockwise direction starting from its right
edge (1,0) at t = 0, its parametric equations can be written:
Metrics
The perimeter of the arbelos is the sum of the semicircumferences of circles of
radius 1, r and 1 - r, or 2π, the perimeter of a unit circle
(the answer from
WolframAlpha
is in error by a factor of 2). Its area is that of a unit semicircle, less the
areas of the two smaller semicircles, or r(1 - r)π, which ranges
from 0 to π/4.
Using the formula for
the centroid of a semicircle, the arbelos metrics can be summarized as follows:
| Region | Area | Centroid | Product |
| Unit semicircle | π/2 | (0,4/(3π)) | (0,2/3) |
| Left semicircle | r2π/2 | (r - 1,4r/(3π)) | (r2(r - 1)π/2,2r3/3) |
| Right semicircle | (1 - r)2π/2 | (r,4(1 - r)/(3π)) | (r(r - 1)2π/2,2(1 - r)3/3) |
| Arbelos (by subtraction) | r(1 - r)π | | (r(1 - r)(2r - 1)π/2,2r(1 - r)) |
The centroid of the arbelos is the
weighted
average
(r(1 - r)(2r - 1)π/2,2r(1 - r))/[r(1 - r)π] = (r - 1/2,2/π)
Since the arbelos has three cusps, it is non-convex by the
multiple local extrema test. The
width x height of its bounding rectangle is that of the unit semicircle, 2 x 1.
Convex Hull
The convex hull of the arbelos is created simply by connecting its three cusps
with a horizontal line segment of length 2, as shown in blue in the left diagram
below. The perimeter of the convex hull is half the circumference of a unit
circle plus the line segment, or π + 2, which is about 18%
shorter than the perimeter of the arbelos. The area of the convex hull is that
of a unit semicircle, or π/2, which is always at least twice the area of the
arbelos itself. The centroid of the convex hull is that of a unit semicircle
centered at the origin, as shown above: (0,4/(3π)). When r is greater than
8/(9π2) + 1/2 = 0.59, the centroid of the convex hull
is outside of the arbelos.
Circumellipse
The extreme points of the arbelos create a y-symmetric isosceles triangle with
vertices at (0,1) and (±1,0). Using h = 1 and
w = 2 in Lemma TE, a
candidate for the circumellipse has parameters
The parametric equations of the convex hull of S are:
For verification,
Circumcircle
Since the arbelos is a portion of a unit circle centered at the origin, its
circumcircle is that circle.
Incircle
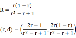
Denote the radius and center of the largest circle inscribed in the arbelos as R
and (c,d), as shown in the diagram above. Since the points of tangency of the
incircle with the left and right semicircles lie along lines connecting their
centers, we have
[c - (r - 1)]2 + (d - 0)2 = (r + R)2
(c - r)2 + (d - 0)2 = (1 - r + R)2
By "Surprise No. 7" in [10], a
vertical line from (c,d) to the horizontal base of the arbelos is bisected by
the lower arc of the incircle; or equivalently,
d = 2R
Solving the preceding three equations simultaneously for R, c and d yields
Specific Example
In the remainder of this paper, we use r = 2/3 as illustrated in the diagram
above. Then the metrics of the incircle are:
R = 2/7
(c,d) = (3/7,4/7)
and the centroid of the arbelos is (1/6,2/π).
Inellipse
Since it's evident that an optimal inscribed ellipse will be tilted downwards
toward the smallest semicircle, we can formulate an equivalent problem by
rotating the arbelos itself by a counterclockwise angle -φ to orient its
inellipse in a rectilinear position. This ellipse will be tangent to each of
the smaller semicircles and twice tangent to the enclosing semicircle, and is
y-symmetric. A numerical search can be used to determine the optimal tilted
inellipse:
φ = -25.514°
a = 0.592932
b = 0.236724
c = 0.318006
d = 0.666294
Area = 0.440957
Summary Table
| Figure | Parameters | Perimeter | Area | Centroid |
| Incircle | R = 2/7 | 1.795196 | 0.256457 | (0.428571,0.571429) |
| Inellipse | a = 0.592932 b = 0.236724 | 2.728001 | 0.440957 | (0.318006,0.666294) |
| Arbelos | Width: 2 Height: 1 | 6.283185 | 0.698132 | (0.166667,0.636620) |
| Convex hull | | 5.141593 | 1.570796 | (0,0.424413) |
| Circumellipse |  | 5.825171 | 2.418401 | (0,0.333333) |
| Circumcircle | R = 1 | 6.283185 | 3.141593 |  |

Top Page
Home
Copyright © 2021 Balmoral Software (http://www.balmoralsoftware.com). All
rights reserved.