Lemniscate of Bernoulli
LEMNISCATE OF BERNOULLI

Balmoral Software

The Lemniscate of Bernoulli, or two-leaved rose, is a bisymmetric figure-8 curve S with parametric equations
for 0 ≤ t < 2π. As t increases from 0, S starts from its right-hand edge at (1,0), moves through Quadrant I to the origin at t = π/2, then clockwise through Quadrant III, its left edge (-1,0) at t = π, and Quadrant II before returning to the origin at t = 3π/2 and passing through Quadrant IV back to its starting point. The ordinate extrema of S are at when so the width x height of its bounding rectangle is

Metrics

The perimeter of S is
and its area is 1.

Convex Hull

The convex hull is created by connecting the ordinate extrema points with two horizontal line segments of length We have
so by (L1), the perimeter of the convex hull is
which is about 9% shorter than that of the lemniscate.

The line segments of the convex hull create a rectangle of area as shown in blue in the left diagram below. By (A1), the area of the convex hull is

which is about 30% more than the area of the lemniscate.

Circumcircle

The squared-distance function of S
is maximized at 1, so the circumradius is 1.

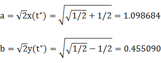
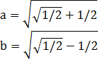
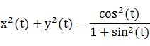
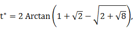
Circumellipse

From Lemma B, we have
This expression is maximized in the first quadrant at
so the circumellipse dimensions are
For verification, we have

Incircle (lobe)

Consider the right lobe of the lemniscate, where -π/2 ≤ t < π/2. The maximum radius of a circle centered on the x-axis and inscribed in the lobe is the maximum ordinate of S, so a candidate for the lobe incircle has radius and center abscissa The candidate circle must be contained within the lobe, so we require that c - R and c + R both be within the abscissa range [0,1] of the lobe, which is true. For verification, we have

Inellipse (lobe)

Using z = 1 in Lemma E,
has a zero at t* = 0.916671. The corresponding coordinates are
x* = 0.373344

y* = 0.296279

We then have
For verification,

Summary Table

FigureParametersPerimeterAreaCentroid
Incircle (lobe)R = 2.2214420.392699(0.612372,0)q
Inellipse (lobe)a = 0.417771
b = 0.342114
2.3931690.449013(-0.582229,0)
Lemniscate of Bernoulli5.2441151
Convex hull4.7858221.299038
Circumellipse5.0930491.570797
CircumcircleR = 16.2831853.141593
Bug-eyed Space Jockey

The Lemniscate of Bernoulli (red) is a member of a group of figure-8 curves described on these pages, including (inside to outside) the dumbbell curve, the bowtie, the Lemniscate of Gerono and the dipole:


Top Page

Home

Copyright © 2021 Balmoral Software (http://www.balmoralsoftware.com). All rights reserved.