Dipole
DIPOLE

Balmoral Software

The dipole is a figure-8 curve S with polar equation
This bisymmetric curve is traced out in a counterclockwise direction around the origin, starting from the right edge at (1,0). Its maximum height occurs at the points which determine that the dipole is non-convex by the multiple local extrema test. The values of t at these points are and π - . The maximum width of the dipole is between the point pair (0,±1), so the width x height of its bounding rectangle is

Metrics

We have
so by (L2), the perimeter of S is
and by (A2), the area of S is

Convex Hull

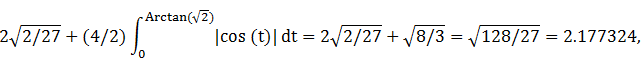
The convex hull is created by connecting the extreme ordinate points with two horizontal line segments of length as shown in blue in the left diagram below. By (L2), the perimeter of the convex hull is
which is about 24% shorter than that of the dipole.

The line segments of the convex hull create two isosceles triangles with the origin, each having an area of

By (A2), the area of the convex hull is
which is about 9% more than the area of the dipole.

Circumcircle

The radius maximum is 1, so that is the circumradius.

Circumellipse

From Lemma B, we have
x(t)y(t) = r2(t)cos(t)sin(t) = |cos(t)|sin(2t)/2
This expression is maximized in the first quadrant at The circumellipse dimensions are
For verification, we have

Incircle (lobe)

Consider the right lobe of the dipole, where -π/2 ≤ t < π/2. The lobe width 1 is smaller than its height so a candidate for a circle inscribed in the lobe is one with a radius R and center abscissa c both equal to 1/2. For verification, we have

Inellipse (lobe)

Using z = 0 in Lemma E,
d/dt [x(t) - z]y(t) = d/dt |cos(t)|sin(2t)/2
We established in the preceding Circumellipse section that this expression has a zero in the first quadrant at The corresponding coordinates are
We then have
For verification, we have
The value of c is negated in the diagram below to display the inellipse separately in the left lobe.

Summary Table

FigureParametersPerimeterAreaCentroid
Incircle (lobe)R = 1/23.1415930.785398(0.5,0)
Inellipse (lobe)3.4464950.930842(0.491859,0)
Dipole7.165572
Convex hull5.4604132.177324
Circumellipse5.6369922.418399
CircumcircleR = 16.2831853.141593
Thong?

The dipole (red) is a member of a group of figure-8 curves described on these pages, including (inside to outside) the dumbbell curve, the bowtie, the Lemniscate of Bernoulli and the Lemniscate of Gerono:


Top Page

Home

Copyright © 2021 Balmoral Software (http://www.balmoralsoftware.com). All rights reserved.