Dumbbell Curve
DUMBBELL CURVE

Balmoral Software

The dumbbell curve is a bisymmetric sextic curve S with parametric equations
x(t) = cos(t)

y(t) = cos2(t)sin(t), 0 ≤ t < 2π

The curve follows a counterclockwise path around the origin, starting from its right edge at (1,0). Its extreme abscissa points are (±1,0) and its maximum ordinate point in the first quadrant is so the width x height of its bounding rectangle is

Metrics

The perimeter of S is 5.541003 and its area is π/4.

Convex Hull

The convex hull is created by connecting the extreme ordinate points with two horizontal line segments of length We have
x'(t) = -sin(t)

y'(t) = 3cos3(t) - 2cos(t),

so by (L1), the perimeter of the convex hull is
which is about 7% shorter than the perimeter of the dumbbell curve.

The line segments of the convex hull create a rectangle of area

as shown in blue in the left diagram below. By (A1), the area of the convex hull is
which is almost twice the area of the dumbbell curve.

Circumcircle

The maximum squared distance
x2(t) + y2(t) = cos2(t) + cos4(t)sin2(t)
is 1, so that is the circumradius.

Circumellipse

From Lemma B, we have
x(t)y(t) = cos3(t)sin(t)
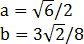
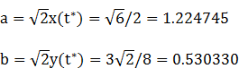
This expression is maximized in the first quadrant at t* = π/6, so the circumellipse dimensions are
For verification, we have

Incircle (lobe)

Consider the right lobe of the dumbbell curve, where -π/2 ≤ t < π/2. The maximum ordinate of the lobe does not define its inradius since the corresponding abscissa is too close to the right edge (1,0), so its incircle is constrained by the right edge of S. Using z = 1 in Lemma C,
is an extremely complicated expression approximated by 0.704642. The corresponding radius R = |c - z| = 0.295358. For verification, we have

Inellipse (lobe)

Using z = 1 in Lemma E,
d/dt [x(t) - z]y(t) = d/dt [cos(t) - 1]cos2(t)sin(t)
has a zero at
The corresponding coordinates are
We then have
For verification, we have

Summary Table

FigureParametersPerimeterAreaCentroid
Incircle (lobe)R = 0.2953581.8557910.274062(0.704642,0)
Inellipse (lobe)1.8836740.278699(0.728714,0)
Dumbbell curve5.5410030.785398
Convex hull5.1355341.885618
Circumellipse5.7317212.040524
CircumcircleR = 16.2831853.141593
Peripheral Vision

The dumbbell curve (red) is a member of a group of figure-8 curves described on these pages, including (inside to outside) the bowtie, the Lemniscate of Bernoulli, the Lemniscate of Gerono and the dipole:


Top Page

Home

Copyright © 2021 Balmoral Software (http://www.balmoralsoftware.com). All rights reserved.