Lemniscate of Gerono
LEMNISCATE OF GERONO

Balmoral Software

The Lemniscate of Gerono is a bisymmetric figure-eight curve S with parametric equations
x(t) = sin(t)

y(t) = sin(2t)/2, 0 ≤ t < 2π

The path of S starts at the origin, passes clockwise through Quadrants I and IV, then counterclockwise through Quadrants II and III and back to the origin. Its abscissa extrema are on the x-axis at ±1 when t = ±π/2, and its extreme ordinate points are at t = ±π/4, ±3π/4, so the width x height of its bounding rectangle is 2 x 1.

Metrics

The perimeter of S is 6.097223 (OEIS A118178) and its area is 4/3.

Convex Hull

The convex hull is created by connecting the extreme ordinate points with two horizontal line segments of length . We have
x'(t) = cos(t)

y'(t) = cos(2t),

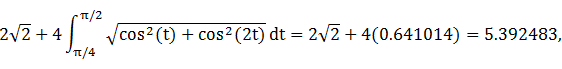
so by (L1), the perimeter of the convex hull is
which is about 12% shorter than that of the lemniscate.

The line segments of the convex hull create a rectangle of area , as shown in blue in the left diagram below. By (A1), the area of the convex hull is

which is about 41% more than the area of the lemniscate.

Circumcircle

The maximum squared distance
x2(t) + y2(t) = sin2(t) + sin2(2t)/4
is 1, so that is the circumradius.

Circumellipse

From Lemma B, we have
x(t)y(t) = sin(t)sin(2t)/2
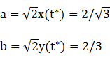
This expression is maximized in the first quadrant at so the circumellipse dimensions are
For verification, we have

Incircle (lobe)

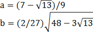
Consider the right lobe of the lemniscate, where 0 ≤ t < π. The maximum ordinate 1/2 of the lobe does not define its inradius since the corresponding abscissa is too close to the right edge (1,0), so its incircle is constrained by the right edge of S. Using z = 1 in Lemma C, we have
and R = |c - z| = 11/27. For verification, we have

Inellipse (lobe)

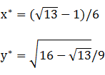
Using z = 1 in Lemma E,
d/dt [x(t) - z]y(t) = [sin(t) - 1]sin(2t)/2
has a zero at
The corresponding coordinates are
We then have
For verification, we have

Summary Table

FigureParametersPerimeterAreaCentroid
Incircle (lobe)R = 11/272.5598160.521444(0.592593,0)
Inellipse (lobe)2.6091780.535201(0.622839,0)
Lemniscate of GeronoWidth: 2
Height: 1
6.0972231.333333
Convex hull5.3924831.885618
Circumellipse5.8251712.418401
CircumcircleR = 16.2831853.141593
Binoculars

The Lemniscate of Gerono (red) is a member of a group of figure-8 curves described on these pages, including (inside to outside) the dumbbell curve, the bowtie, the Lemniscate of Bernoulli and the dipole:


Top Page

Home

Copyright © 2021 Balmoral Software (http://www.balmoralsoftware.com). All rights reserved.