Balmoral Software
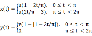
Let t represent the usual parameter, ranging from 0 to 2π through the quadrants in counterclockwise order. The parametric equations of the triangle are piecewise linear in t:![]()
so its perimeter is![]()
R = d = u(s - u)/v
d/dt x(t)[y(t) - z] = d/dt uv(1 - 2t/π)(1 - |1 - 2t/π|)has a zero over [0,π) at
x* = u/2so the inellipse dimensions arey* = v/2,
For verification,![]()
If the triangle is acute (u ≤ v), then using h = v and w = 2u in Lemma TC, the circumellipse has radius and center ordinate
The centers of the boundary ellipses are both the same as the centroid of the isosceles triangle, and the circumellipse is exactly twice as large as the inellipse.
Figure Parameters Perimeter Area Centroid Incircle R = u(s - u)/v 2πR πR2 (0,R) Inellipse Computed (0,v/3) Isosceles triangle Width: 2u
Height: v2(u + s) uv (0,v/3) Circumellipse Computed (0,v/3) Bounding circle Obtuse: R = u 2πu πu2 Acute: R = 2πR πR2 (0,v - R)
Specific Example
The boundary conics for an obtuse isosceles triangle with u = 4 and v = 3 are shown below:

Copyright © 2021 Balmoral Software (http://www.balmoralsoftware.com). All rights reserved.