Balmoral Software
To find the radius R and center abscissa c of the larger circle, we have![]()
which has solution![]()
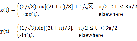
So that S
is traversed in a clockwise direction starting from its left edge (-1,0) at
The abscissa maxima of the lune are at the two cusps (0,±1), so it is non-convex by the multiple local extrema test. The ordinate extrema are also at the cusps, so the width x height of the lune's bounding rectangle is 1 x 2. The lune crosses the x-axis at -1 and![]()
so the perimeter of the convex hull is about about 8% shorter than that of the lune itself.![]()
The portion of the unit semicircle that is not part of the lune is the segment of the larger circle, which has area
The centroid abscissa of this segment is![]()
The lune metrics can be summarized as follows:![]()
The convex hull has a little more than twice the area of the lune. The centroid abscissa of the lune is is the weighted average
Region Area Centroid abscissa Product Convex hull π/2 -4/(3π) -2/3 Segment Lune (by subtraction)
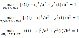
The bounding rectangle for inconics is delimited by the upper x-intercept![]()
occurring when
and the corresponding outer
ordinates
and center
abscissa
For verification, we
have
in
Lemma E,
has a zero at t* = π/6. The corresponding coordinates are:![]()
so the inellipse dimensions are![]()
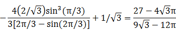
For verification,![]()
For verification,![]()
Figure Parameters Perimeter Area Centroid Incircle R = 1.327793 0.140298 (-0.788675,0) Inellipse 2.572074 0.349066 (-0.769800,0) Lune Width: 1
Height: 25.559992 0.751883 (-0.628821,0) Convex hull 5.141593 1.570796 (-0.424413,0) Circumellipse 5.825171 2.418401 (-0.333333,0) Circumcircle R = 1 6.283185 3.141593

Copyright © 2021 Balmoral Software (http://www.balmoralsoftware.com). All rights reserved.