Mouth Curve
MOUTH CURVE

Balmoral Software

The "Mouth curve" is a bisymmetric sextic curve S with parametric equations
x(t) = cos(t)

y(t) = sin3(t), 0 ≤ t < 2π

The curve is traced out in a counterclockwise direction, starting from its right-hand cusp at (1,0). Its abscissa extrema are (±1,0) and its ordinate extrema (0,±1), so its bounding rectangle is a 2 x 2 square.

Metrics

We have
x'(t) = -sin(t)

y'(t) = 3sin2(t)cos(t),

so by (L1), the perimeter of S is
By (A1), the area enclosed by S is

Convex Hull

We have
x''(t) = -cos(t)

y''(t) = 6sin(t) - 9sin3(t),

so by (X1), the curvature of S changes sign when t = 0 since that value is a solution to
-sin(t)[6sin(t) - 9sin3(t)] = -cos(t)[3sin2(t)cos(t)]
Equation (X2) is evaluated with respect to the point (x(0),y(0)) = (1,0) as
which has a solution in the first quadrant at t = π/3. The convex hull is created by connecting the points and (1,0) with a straight line segment of length and symmetrically in the other three quadrants. By (L1), the perimeter of the convex hull is:
which is about 0.4% shorter than the perimeter of S.

In the left figure below, the area of the Quadrant I portion of the triangle outlined in blue is

and the area of the remaining convex hull area in Quadrant I is
so the total area of the convex hull is
which is about 2% larger than the area of S.

Boundary Circles & Circumellipse

The squared distance function x2(t) + y2(t) ranges from to 1, so the inradius is
and the circumradius is 1. Since the maximum distance of S from the origin along its positive and negative axes is the same, its circumellipse is the same as its circumcircle.

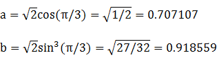
Inellipse

From Lemma B,
x(t)y(t) = cos(t)sin3(t)
is maximized in the first quadrant when t* = π/3, so the inellipse dimensions are
For verification, we have

Summary Table

FigureParametersPerimeterAreaCentroid
IncircleR = 4.9277951.932393
Inellipse5.1288052.040524
Mouth curveWidth: 2
Height: 2
5.828962.356195
Convex hull5.8052292.409196
CircumcircleR = 16.2831853.141593
The Aria

The mouth curve (red) is a member of a group of similarly-shaped figures described on these pages, including (inside to outside) the Vesica Piscis and the cycloid:


Top Page

Home

Copyright © 2021 Balmoral Software (http://www.balmoralsoftware.com). All rights reserved.