Balmoral Software
x(t) = 3cos(t) - cos(3t)This bisymmetric curve is traced out in a counterclockwise direction around the origin, starting from the cusp at (2,0). Its maximum width occurs at the point pairsy(t) = 3sin(t) - sin(3t), 0 ≤ t < 2π
which determine that the
nephroid is non-convex by the
multiple local extrema test. The
values of t at these point pairs are ±π/4 (right pair) and
±3π/4 (left pair). The maximum height of the nephroid is between the
point pair (0,±4), so the width x height of its bounding rectangle is
as shown in blue in the left
diagram below. We have
x'(t) = -3sin(t) + 3sin(3t)so by (L1), the perimeter of the convex hull isy'(t) = 3cos(t) - 3cos(3t)
which is about 6% shorter than that of the nephroid.![]()
To compute the area of the convex hull, we can see by
(A1) that the area A1 of the
region in green in the left diagram below is the integral of y dx from
at the maximum abscissa point:
Therefore, the area of the convex hull is![]()
A + 4A1 = 12π + 4(5 - 3π/2) = 20 + 6π = 38.849556,which is about 3% more than the area of the nephroid.
x2(t) + y2(t) = 10 - 6cos(2t)has its extrema on the coordinate axes at (±2,0) and (0,±4), so the inradius is 2 and the circumradius is 4. A candidate for the inellipse is one enclosed by the annulus between these two circles, with
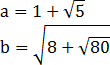
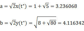
x(t)y(t) = [9sin(2t) - 6sin(4t) + sin(6t)]/2is maximized in the first quadrant when
The circumellipse dimensions are![]()
For verification, we have![]()
Figure Parameters Perimeter Area Centroid Incircle R = 2 12.566371 12.566371 Inellipse a = 2
b = 419.376896 25.132741 Nephroid 24 37.699112 Convex hull 22.627417 38.849556 Circumellipse 23.181126 41.848410 Circumcircle R = 4 25.132741 50.265482

Copyright © 2021 Balmoral Software (http://www.balmoralsoftware.com). All rights reserved.