Balmoral Software
r(t) = cos(t)cos(2t)for t ∈ T = [0,π). The curve always moves counterclockwise, visiting the origin three times, hence its name. At
at
at
at r'(t) = -[sin(t) + 3sin(3t)]/2,so by (L2), the perimeter of S is
Its centroid abscissa is 1/2.![]()
and one vertical line segment
of length
By
(L2), the perimeter of the convex hull
consists of these line segments plus the arc of a thin wedge in each small lobe
and the convex portion of the main lobe:
The perimeter of the convex hull is about 16% shorter than that of the trefoil.![]()
In the upper half-plane, the line segments of the convex hull create two triangles, shown in blue in the left diagram at the bottom of this page. At left is a right triangle of area
and whose centroid abscissa -1/12 is the average of its vertex abscissas. At the top is a scalene triangle with area![]()
and centroid abscissa 1/6. By (A2), the thin wedge of the small lobe has area![]()
By (C1), its centroid abscissa is![]()
Similarly, the area of the convex portion of the main lobe in the upper half-plane is![]()
and its associated centroid abscissa is![]()
The component metrics for half of the convex hull can be summarized as follows:![]()
The total area of the convex hull is 0.521114, about 1/3 larger than that of the trefoil. The centroid abscissa of the convex hull is the weighted average
Region Area Centroid abscissa Product Right triangle -1/12 Small lobe wedge Scalene triangle 1/6 Main lobe portion Total
x(t) = r(t)cos(t) = cos2(t)cos(2t)Using z = 1 in Lemma C,y(t) = r(t)sin(t) = sin(4t)/4
[x2(t) + y2(t) - z2]/[x(t) - z]/2 = cos(2t)/2 + 1/[cos(2t) + 2]is minimized at
For verification, we have![]()
a = 0.698874It's interesting to note that the circumellipse's center abscissa c is the same as its half-height b in this optimal solution.b = 0.312453
c = 0.312454
d = 0

d/dt [x(t) - z]y(t) = d/dt [cos2(t)cos(2t) - 1]sin(4t)/4has a zero at t* = 0.538406 radians. The corresponding coordinates are
x* = 0.349472We then havey* = 0.208727
For verification,![]()
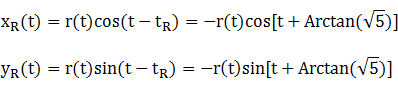
when
Since the trefoil is defined by a polar function, tR is also the clockwise rotation angle. The parametric coordinate functions of the rotated curve are:![]()
The asymmetry can then be seen by comparing the upper half of the lobe (red) with a reflection of the lower half (blue):![]()
R = 0.038767c = -0.070559
d = -0.160962
a = 0.111756To display the tilted ellipse in the upper tail lobe, the axis-aligned ellipse is rotated counterclockwise byb = 0.036490
c = 0.160167
d = -0.001576
Figure Parameters Perimeter Area Centroid Incircle (tail) R = 0.038767 0.243580 0.004721 (-0.070559,-0.160962) Inellipse (tail) * a = 0.111756
b = 0.0364900.496259 0.012811 (0.160167,-0.001576) Incircle (main lobe) R = 1/4 1.570796 0.196350 (0.603553,0) Inellipse (main lobe) a = 0.433685
b = 0.2410172.163075 0.328376 (0.566315,0) Trefoil Width: 9/8
Height: 1/23.54166 0.392699 (0.5,0) Convex hull 2.968856 0.521114 (0.400239,0) Circumellipse a = 0.698874
b = 0.3124533.294240 0.686015 (0.312454,0) Circumcircle 3.680605 1.078024 (0.414214,0) *: With respect to rotated curve S

The trefoil (red) is similarly shaped to the fish curve:
Copyright © 2021 Balmoral Software (http://www.balmoralsoftware.com). All rights reserved.