Balmoral Software
r(t) = sec3(t/3), -π ≤ t < πThe curve follows a counterclockwise path as t increases, starting from the cusp (-8,0) at
r'(t) = tan(t/3)sec3(t/3),so by (L2), the perimeter of the Tschirnhausen cubic is
and by (A2), its area A is![]()
By (C2), its centroid abscissa is![]()
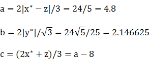
d/dt [x(t) - z]y(t) = d/dt -3sin(t)tan2(t/3)sec3(t/3)has a zero at t* = (3/2)Arccos(-2/7). The corresponding coordinates are
We then have![]()
For verification,![]()
d/dt [x(t) - z]y(t) = d/dt [sec3(t/3)cos(t) + 8]sec3(t/3)sin(t)has a zero at
The corresponding coordinates are![]()
We then have![]()
For verification,![]()
Figure Parameters Perimeter Area Centroid Incircle R = 2 12.566371 12.566371 (-2,0) Inellipse 17.588970 21.025157 (-2.6,0) Tschirnhausen cubic Width: 9
Height: 420.784610 24.941532 (-2.857143,0) Circumellipse 22.627006 32.370342 (-3.2,0) Circumcircle R = 9/2 28.274334 63.617251 (-3.5,0)

The Tschirnhausen cubic (red) is a member of a group of similarly-shaped figures described on these pages, including (inside to outside) the teardrop curve, the right strophoid, the Trisectrix of Maclaurin and the piriform curve:
Copyright © 2021 Balmoral Software (http://www.balmoralsoftware.com). All rights reserved.